在試驗檢測中,金剛石鋸片的電機轉速控制系統可靠性檢測的硬件部分主要包括科姆龍KV2000無感矢量型變頻器,、3.0kW三相異步電機、編碼器、采集卡和PC等, LabVIEW 程序的集計數模塊和PID調節模塊程序如圖 5-12(a)所示,檢測前面板參數設置及顯結果如圖5-12(b)所示。
圖5-12為轉速測量數據,當金剛石鋸片的電機轉速為 400r/min 時, 最大誤差值接近 0.5r/min,轉速實測數據和初始設定轉速值的誤差較小。圖 5-13 是對設定轉速 400r/min 隨采集的三組數據,目的是檢驗轉速控制和采集系統的重復精度及可靠性。其中每組數據的測量周期均為編碼器旋轉一周,采樣間隔是碼盤上每隔 10 格采集一次。
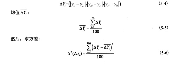
對上述三次測量中各對應點(y1i,y2i,y3i)進行重復控制誤差分析。首先,計算三次測量中各點的測量值之差:
根據圖5-13中測量數據進行均值和方差計算,從而分析測量數據的穩定性,轉速控制系統穩定性較好,能夠滿足轉精確控制的需求。本次測量結合虛擬儀器理論以及數據采集理論和檢測目的, 進行綜合評定選擇相對最優的檢測方法和平臺搭建方式。另外也與理論分析結果、模態試驗結果對比,分析金剛石鋸片不同轉速下橫向振動與相應階次模態的關系,為后續指導生產提供工藝參數。
